Mar 27, 2026
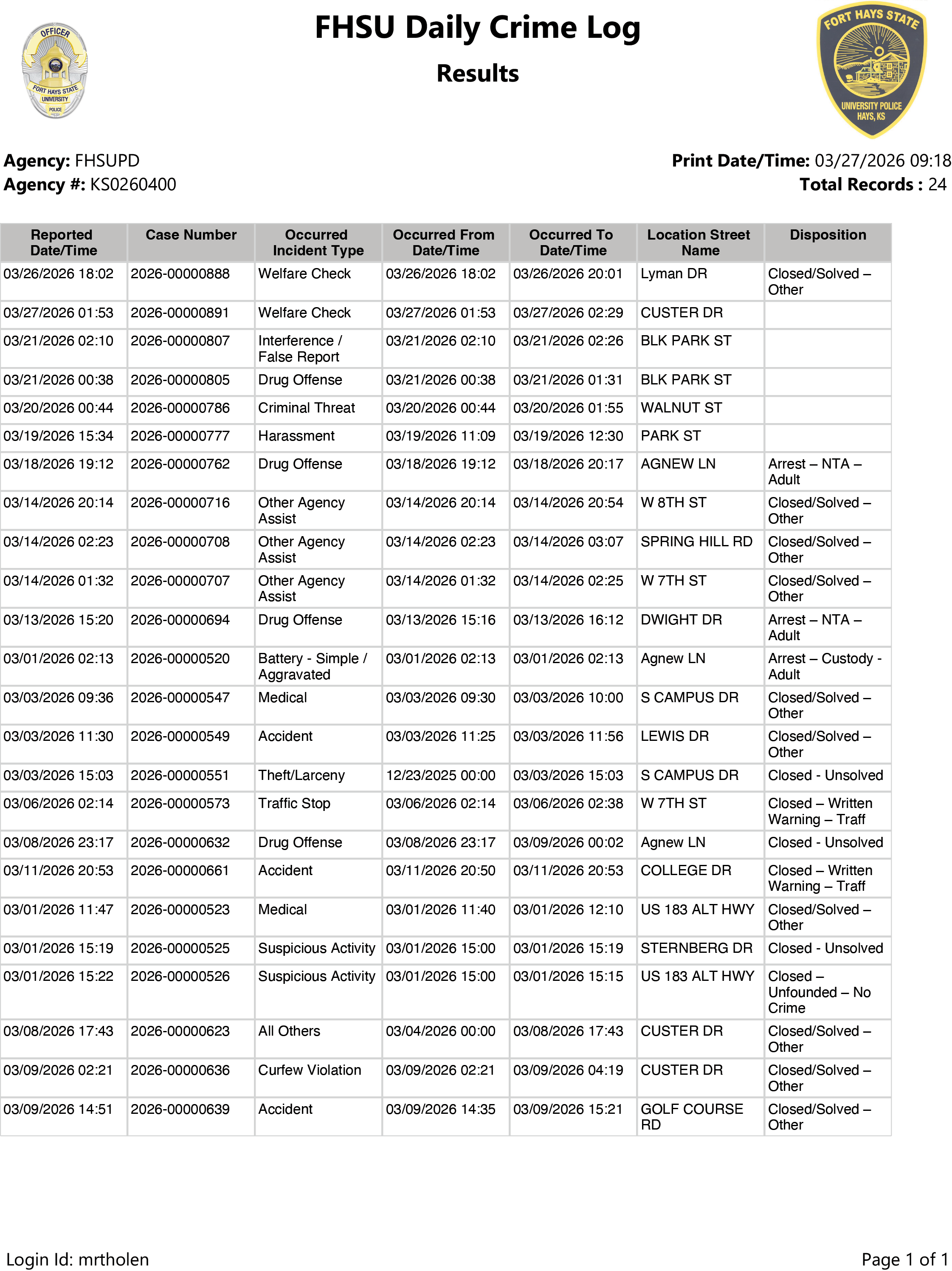
FHSU daily crime log: March 22-27, 2026
Posted Mar 27, 2026 4:21 PM
local
arrests